Structural Biology
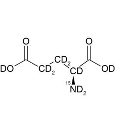
L-Glutamine-13C5,β3,γ3-D2,15N2
CCDN4008P
2 - 4 weeks• Original SAIL amino acid
• Preservation of through-bond connectivity
• Reduction of spin diffusion
• Removal of 2JHH couplings
• Reduction of number of protons 50%L-Histidine-13C6, 15N3, α,β,β,2,5-d5
CCDN1200P01
2 - 4 weeks• 100 mg• 99% 13C, 98% D, 98% 15N
• 95% CPL-Histidine-13C6,β3-D,15N3
CCDN4010P
2 - 4 weeks• Original SAIL amino acid
• Preservation of through-bond connectivity
• Reduction of spin diffusion
• Removal of 2JHH couplings
• Reduction of number of protons 50%L-Isoleucine-13C6, 15N, 2,3,4,4,5,5,5-d7,3-methyl-d3
CCDN1300P01
2 - 4 weeks13CD313CD213CD(13CD3)13CD(15NH2)CO2HL-Isoleucine-13C6,γ13,γ2,γ2,δ1,δ1-D5,15N
CCDN4011P
2 - 4 weeks• Original SAIL amino acid
• Preservation of through-bond connectivity
• Reduction of spin diffusion
• Removal of 2JHH couplings
• Reduction of number of protons 50%L-Leucine-13C5,β2,δ1,δ1,δ2,δ2,δ2,D6,15N
CCDN4016P
2 - 4 weeks• Original SAIL amino acid
• Preservation of through-bond connectivity
• Reduction of spin diffusion
• Removal of 2JHH couplings
• Reduction of number of protons 50%L-Lysine-13C6β2,γ2,δ2,ε3-D4,15N2
CCDN4022P
2 - 4 weeks• Original SAIL amino acid
• Preservation of through-bond connectivity
• Reduction of spin diffusion
• Removal of 2JHH couplings
• Reduction of number of protons 50%L-Methionine-13C5, 15N, 2,3,3,4,4-d5-(methyl-d3)
CCDN2000P01
2 - 4 weeks13CD3S13CD213CD213CD(15NH2)13CO2HL-Methionine-13C5,β3,γ3,ε,ε-D4,15N
CCDN4023P
2 - 4 weeks• Original SAIL amino acid
• Preservation of through-bond connectivity
• Reduction of spin diffusion
• Removal of 2JHH couplings
• Reduction of number of protons 50%L-Phenylalanine-13C9, 15N, α,β,β,2,3,4,5,6-d8
CCDN2200P01
2 - 4 weeks• 100 mg• 99% 13C, 98% D, 98% 15N
• 95% CPL-Phenylalanine-c’,α,β,γ,ζ-13C5,β2,δ,ε1,ε2-D5,15N
CCDN4026P
2 - 4 weeks• Original SAIL amino acid
• Preservation of through-bond connectivity
• Reduction of spin diffusion
• Removal of 2JHH couplings
• Reduction of number of protons 50%L-Proline-13C5,β3,γ3,δ3-D3,15N
CCDN4031P
2 - 4 weeks• Original SAIL amino acid
• Preservation of through-bond connectivity
• Reduction of spin diffusion
• Removal of 2JHH couplings
• Reduction of number of protons 50%L-Serine-13C3,β2-D,15N
CCDN4032P
2 - 4 weeks• Original SAIL amino acid
• Preservation of through-bond connectivity
• Reduction of spin diffusion
• Removal of 2JHH couplings
• Reduction of number of protons 50%L-Threonine-13C4,δ,δ-D2,15N
CCDN4033P
2 - 4 weeks• Original SAIL amino acid
• Preservation of through-bond connectivity
• Reduction of spin diffusion
• Removal of 2JHH couplings
• Reduction of number of protons 50%L-Tryptophan-c’,α,β,γ,δ1,ε2,ε3,η2-13C8,β2,ζ2,ζ3-D3,15N
CCDN4035P
2 - 4 weeks• Original SAIL amino acid
• Preservation of through-bond connectivity
• Reduction of spin diffusion
• Removal of 2JHH couplings
• Reduction of number of protons 50%
Shop By
Shopping Options
Category
- Free Amino Acids 286 items
- Amino Acid Mixtures 5 items
- Protected Amino Acids 114 items
- SAIL Amino Acids 45 items
- 15N-2D1 Amino Acids 14 items
- Alpha-ketoacids 17 items
- Bioactive Compounds 206 items
- Buffering Agents 6 items
- Chemical Labeling Reagents 34 items
- Carbohydrates 81 items
- Fatty Acids 79 items
- Lipids & Detergents 60 items
- Nucleic acids 61 items
- Protein & Peptide Standards 128 items
- 15N salts 44 items
- D2O 45 items
- Growth Media for E Coli 28 items
- Insect Cell Kits 7 items
- Cell Free Kits 8 items
Manufacturer
Selection
- 10-MAG 1 item
- Acetate 8 items
- Acetaldehyde 3 items
- Acetic Acid 10 items
- Acetic Anhydride 4 items
- Acetone 3 items
- Acrylamide 3 items
- Alanine 47 items
- Aldosterone 1 item
- Amino Acid Mixtures 5 items
- Aminolevulinic Acid 10 items
- Ammonium Acetate 1 item
- Ammonium Chloride 6 items
- Ammonium Deuteroxide 2 items
- Ammonium Dihydrogen Phosphate 1 item
- Ammonium Hydroxide 1 item
- Ammonium Nitrate 12 items
- Ammonium Sulfate 5 items
- Androstene 1 item
- Androsterone 2 items
- Arabinose 1 item
- Arachidonic Acid 1 item
- Arginine 17 items
- Ascorbic Acid 3 items
- Asparagine 17 items
- Aspartic Acid 23 items
- Benzaldehyde 5 items
- Biotin 1 item
- Bis-Tris 1 item
- Bromobenzene 2 items
- Bromoethanol 2 items
- Butyric Acid 7 items
- Caffeine 2 items
- Calbindin 15 items
- Calcium Nitrate 4 items
- Capric Acid 5 items
- Caproic Acid 5 items
- Caprylic Acid 7 items
- Cell Free 8 items
- Celtone 14 items
- Chlorobenzene 2 items
- Cholesterol 7 items
- Cholesteryl 1 item
- Cholic Acid 9 items
- Choline 1 item
- Choline Bromide 3 items
- Choline Chloride 3 items
- Citric Acid 4 items
- Cortisol 1 item
- Cortisone 3 items
- Creatinine 2 items
- CTAB 1 item
- Cysteine 11 items
- D6PC 3 items
- D6PE 1 item
- D6PG 1 item
- D7PC 3 items
- D7PE 1 item
- D7PG 1 item
- DDM 1 item
- Deuterium Oxide 1 item
- Diethylmalonate 1 item
- Dimethylsulfate 3 items
- Dimethylamine 1 item
- DMPC 5 items
- DMPE 4 items
- DMPG 4 items
- DMPS 2 items
- Docosahexaenoic Acid 1 item
- DOPA 1 item
- DOPC 2 items
- DOPE 2 items
- DOPG 2 items
- DPC 1 item
- DPPC 4 items
- DPPE 1 item
- DPPG 1 item
- Estradiol 6 items
- Estriol 1 item
- Estrone 5 items
- Fatty Acids Mixture 1 item
- fMLF 14 items
- Formaldehyde 3 items
- Fos-Choline-10 1 item
- Fos-Choline-14 1 item
- Fructose 8 items
- Galactose 4 items
- GB1 28 items
- Geosmin 1 item
- Glucose 28 items
- Glutamic Acid 23 items
- Glutamine 21 items
- Glycerol 14 items
- Glycine 33 items
- Hepes 1 item
- Histidine 12 items
- Insect Cell 7 items
- Iodoacetamide 1 item
- Isogro 7 items
- Isoleucine 18 items
- Isovaleric Acid 10 items
- Lactic Acid 2 items
- Lauric Acid 6 items
- LDAO 1 item
- Leucine 35 items
- Linoleic Acid 1 item
- Linolenic Acid 2 items
- LLPG 1 item
- LMPC 1 item
- LMPG 1 item
- LPPC 1 item
- LPPG 1 item
- Lysine 32 items
- Malonic Acid 3 items
- Mannitol 4 items
- Mannose 7 items
- MBP 15 items
- Mes 1 item
- Methionine 24 items
- Monophosphates 16 items
- Myristic Acid 7 items
- Neuraminic Acid 1 item
- Nucleosides 17 items
- OG 1 item
- Oleic Acid 8 items
- Palmitic Acid 9 items
- Palmitoleic Acid 1 item
- Phenylalanine 24 items
- Pipes 1 item
- POPC 4 items
- POPG 4 items
- POPS 1 item
- Potassium Cyanide 2 items
- Potassium Nitrate 4 items
- Potassium Nitrite 1 item
- Potassium Oleate 4 items
- Potassium Palmitate 6 items
- Pregnenolone 4 items
- Progesterone 2 items
- Proline 14 items
- Pyridoxal 1 item
- Pyridoxamine 1 item
- Riboflavin 1 item
- Ribose 6 items
- Ritalinic Acid 1 item
- SDS 1 item
- Serine 16 items
- SH3 28 items
- Sodium Acetate 11 items
- Sodium Butyrate 6 items
- Sodium Cyanoborodeuteride 1 item
- Sodium Lactate 7 items
- Sodium Nitrate 3 items
- Sodium Nitrite 2 items
- Sodium Palmitate 2 items
- Sodium Propionate 7 items
- Sodium Pyruvate 8 items
- Sorbitol 2 items
- Spectra 9 7 items
- Stearic Acid 6 items
- Succinate 2 items
- Succinic Acid 5 items
- Succinic Anhydride 1 item
- Testosterone 2 items
- Thiamine 1 item
- Threonine 18 items
- Thyronamine 1 item
- Thyronine 3 items
- Thyroxine 1 item
- Tocopherol 1 item
- Triphosphates 28 items
- Tris 2 items
- Tryptophan 13 items
- Tyrosine 24 items
- Ubiquitin 28 items
- Urea 8 items
- Uric Acid 7 items
- Valine 23 items
- Vanillin 2 items
- Vitamin B5 1 item
- Vitamin D 12 items
- Vitamin D3 13 items
- Vitamin E 1 item
- Vitamin K 1 item
- Vitamin K3 1 item
- Xanthine 7 items
- Xylose 6 items
- Deoxyglucose 3 items
Labeling
































































































































































































































