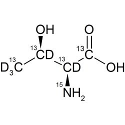
L-Threonine-13C4, 15N, -d5

Code
CCDN3900P025
13CD313CD(OH)13CD(15NH2)13CO2H
13CD313CD(OH)13CD(15NH2)13CO2H
L-Threonine-13C4, 15N, -d5