Fatty Acids
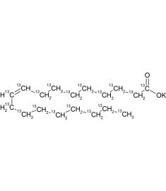
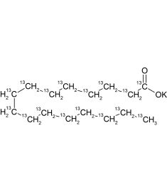
Potassium Palmitate-1,3,5,7,9-13C5
CC2448P
2 - 4 weeks• Sterility and Pyrogenicity Tested
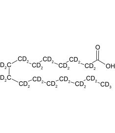
• 99% 13C, 98% CPPotassium Palmitate-13,13,14,14,15,15,16,16,16-d9
CD2448P
2 - 4 weeks• Sterility and Pyrogenicity Tested
• 98% D, 98% CP
Shop By
Shopping Options
























































