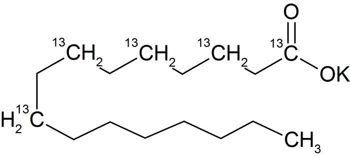
Potassium Palmitate-1,3,5,7,9-13C5
Code
CC2448P
• Sterility and Pyrogenicity Tested
• 99% 13C, 98% CP
• 99% 13C, 98% CP
For R&D use only. S&P testing is done on the bulk prior to packaging.
| Chemical Purity | 98% |
|---|
Potassium Palmitate-1,3,5,7,9-13C5
Structural Biology
Material Science
Metabolomics & Proteomics
Organic Chemistry| Chemical Purity | 98% |
|---|
