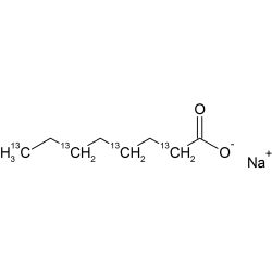
Sodium Octanoate-2,4,6,8-13C4
Code
CC3566P
• Sterility and Pyrogenicity Tested
• 99% 13C
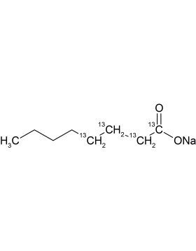
• 99% 13C
For R&D use only. S&P testing is done on the bulk prior to packaging.
Sodium Octanoate-2,4,6,8-13C4
Structural Biology
Material Science
Metabolomics & Proteomics
Organic Chemistry
