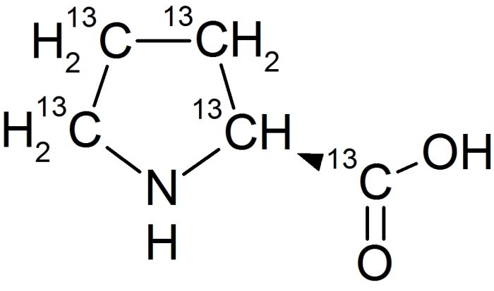
L-Proline-13C5

Code
CC2510P01
$0.00
• 100 mg
• 99% 13C
• 98% CP
CAS number: 201740-83-2
13C4H7NH13CO2H
L-Proline-13C5