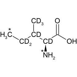
L-Isoleucine-δ-13CH3,D7,15N
Code
CCDN4014P001
$0.00
10 mg
• Preservation of through-bond connectivity
• Reduction of spin diffusion
• Removal of 2JHH couplings
• Reduction of number of protons by 50%
• Reduction of spin diffusion
• Removal of 2JHH couplings
• Reduction of number of protons by 50%







































