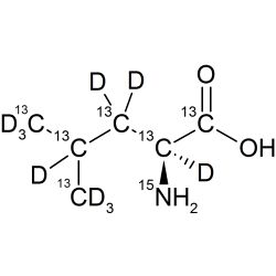
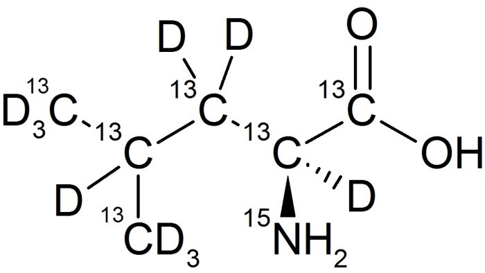
L-Leucine-13C6, 15N, -d10

Code
CCDN1590P
(13CD3)213CD13CD213CD(15NH2)13CO2H
(13CD3)213CD13CD213CD(15NH2)13CO2H
L-Leucine-13C6, 15N, -d10