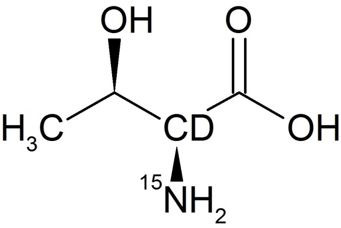
L-Threonine-15N, 2-d1

Code
CDN3900P
CH3CH(OH)CD(15NH2)CO2H
L-Threonine-15N, 2-d1