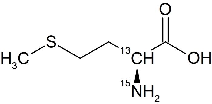
L-Methionine-2-13C, 15N

Code
CCN2020P
99% 13C, 98% 15N
CH3S(CH2)213CH(15NH2)CO2H
L-Methionine-2-13C, 15N