JavaScript seems to be disabled in your browser. For the best experience on our site, be sure to turn on Javascript in your browser.
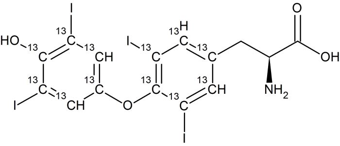
3,3′-Diiodo-L-Thyronine-(Phenoxy-13C6) (T2)