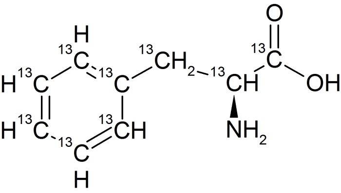
L-Phenylalanine-13C9

Code
CC2300P
• 99% 13C
• 98% CP
13C6H513CH213CH(NH2)13CO2H
L-Phenylalanine-13C9