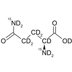
L-Glutamine-15N2, -d10

Code
CDN1020P
98% D, 98% 15N
D215NCOCD2CD2CD(15ND2)CO2D
L-Glutamine-15N2, -d10