Structural Biology
Fmoc-Aspartic Acid-(OtBu)-OH-13C4, 15N
CCN371P01$1,300.002 - 4 weeks• 100 mg
• 98%13C, 98%15N
• 95% CPFmoc-Aspartic Acid-(OtBu)-OH-13C4, 15N
CCN371P025$2,700.002 - 4 weeks• 250 mg
• 98%13C, 98%15N
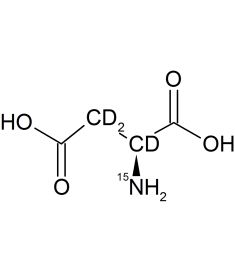
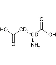
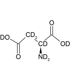
• 95% CPL-Aspartic Acid-13C4,β2-D,15N
CCDN4005P
2 - 4 weeks• Original SAIL amino acid
• Preservation of through-bond connectivity
• Reduction of spin diffusion
• Removal of 2JHH couplings
• Reduction of number of protons 50%
Shop By
Shopping Options



























































