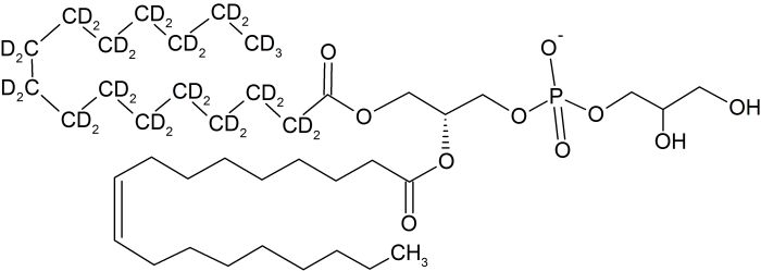
1-palmitoyl-d31-2-oleoyl-sn-glycero-phosphoglycerol (16:0-d31-18:1 POPG)
 Code 
CD5082P
• DMPC, Deuterated on 1' acyl chain 
• Deuteration: 98 %
• Chemical purity > 99 %
• Deuteration: 98 %
• Chemical purity > 99 %
• TLC and NMR spectra are supplied with the sample 
• Product has been tested for the preparation of NMR sample of membrane proteins.
• Product has been tested for the preparation of NMR sample of membrane proteins.
1-palmitoyl-d31-2-oleoyl-sn-glycero-phosphoglycerol (16:0-d31-18:1 POPG)
  
 



















































