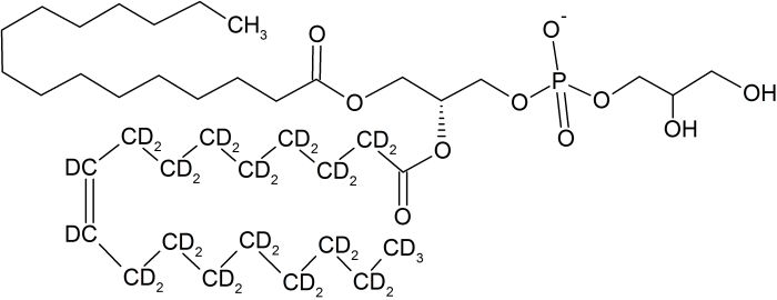
1-palmitoyl-2-oleoyl-d33-sn-glycero-phosphoglycerol (16:0-18:1-d33 POPG)
Code
CD5083P
• DMPC, Deuterated on 2' acyl chain
• Deuteration: 98 %
• Chemical purity > 99 %
• Deuteration: 98 %
• Chemical purity > 99 %
• TLC and NMR spectra are supplied with the sample
• Product has been tested for the preparation of NMR sample of membrane proteins.
• Product has been tested for the preparation of NMR sample of membrane proteins.
1-palmitoyl-2-oleoyl-d33-sn-glycero-phosphoglycerol (16:0-18:1-d33 POPG)










































