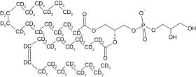
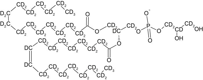
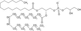
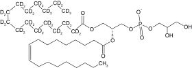
1-palmitoyl-2-oleoyl-sn-glycero-phosphoglycerol-d74 (16:0-18:1 POPG-d74)
Code
CD5084P
POPG, Perdeuterated
• TLC and NMR spectra are supplied with the sample
• Product has been tested for the preparation of NMR sample of membrane proteins.
• Product has been tested for the preparation of NMR sample of membrane proteins.
1-palmitoyl-2-oleoyl-sn-glycero-phosphoglycerol-d74 (16:0-18:1 POPG-d74)










































