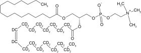
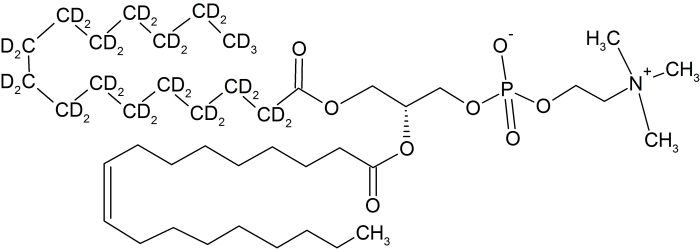
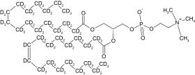
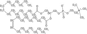
1-palmitoyl-d31-2-oleoyl-sn-glycero-phosphocholine (16:0-d31-18:1 POPC)
Code
CD5091P
• POPC, Deuterated on palmitate chain only
• Deuteration: 98 % (except alpha protons that are Deuterated at 50 %)
• Chemical purity > 99 %
• Deuteration: 98 % (except alpha protons that are Deuterated at 50 %)
• Chemical purity > 99 %
• TLC and NMR spectra are supplied with the sample
• Product has been tested for the preparation of NMR sample of membrane proteins.
• Product has been tested for the preparation of NMR sample of membrane proteins.
1-palmitoyl-d31-2-oleoyl-sn-glycero-phosphocholine (16:0-d31-18:1 POPC)












































