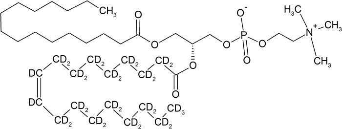
1-palmitoyl-2-oleoyl-d33-sn-glycero-phosphocholine (16:0-18:1-d33 POPC)
 Code 
CD5092P
• POPC, Deuterated on oleate chain only
• Deuteration: 98 % (except alpha protons that are Deuterated at 50 %)
• Chemical purity > 99 %
• Deuteration: 98 % (except alpha protons that are Deuterated at 50 %)
• Chemical purity > 99 %
• TLC and NMR spectra are supplied with the sample 
• Product has been tested for the preparation of NMR sample of membrane proteins.
• Product has been tested for the preparation of NMR sample of membrane proteins.
1-palmitoyl-2-oleoyl-d33-sn-glycero-phosphocholine (16:0-18:1-d33 POPC)
 
 









































