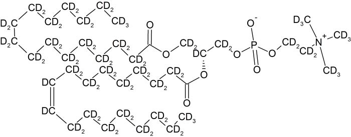
1-palmitoyl-2-oleoyl-sn-glycero-phosphocholine-d82 (16:0-18:1 POPC-d82)
Code
CD5093P
POPC, Perdeuterated
• TLC and NMR spectra are supplied with the sample
• Product has been tested for the preparation of NMR sample of membrane proteins.
• Product has been tested for the preparation of NMR sample of membrane proteins.
1-palmitoyl-2-oleoyl-sn-glycero-phosphocholine-d82 (16:0-18:1 POPC-d82)










































