All Stable Isotopes
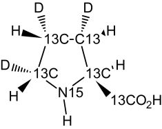
L-Proline-13C5,β3,γ3,δ3-D3,15N
CCDN4031P
2 - 4 weeks• Original SAIL amino acid
• Preservation of through-bond connectivity
• Reduction of spin diffusion
• Removal of 2JHH couplings
• Reduction of number of protons 50%
Shop By
Shopping Options

















































