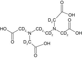
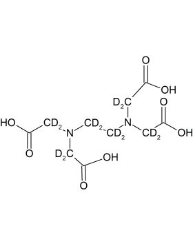
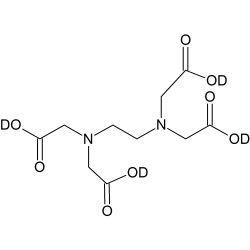
Ethylenediaminetetraacetic Acid-d4
Code
CD651P1
• 1 g
• 98% D
• 98% D
CAS number: 15251-22-6
(DO2CCH2)2N(CH2)2N(CH2CO2D)2
(DO2CCH2)2N(CH2)2N(CH2CO2D)2
Ethylenediaminetetraacetic Acid-d4
Structural Biology
Material Science
Metabolomics & Proteomics
Organic Chemistry
