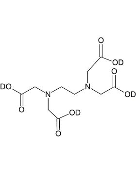
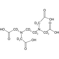
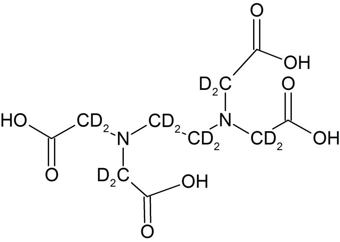
Ethylenediaminetetraacetic Acid-d12
Code
CD650P1
$1,210.00
• 1 g
• 98% D
• 98% D
CAS number: 203806-08-0
(HO2CCD2)2N(CD2)2N(CD2CO2D)2
(HO2CCD2)2N(CD2)2N(CD2CO2D)2
Structural Biology
Material Science
Metabolomics & Proteomics
Organic Chemistry
