JavaScript seems to be disabled in your browser. For the best experience on our site, be sure to turn on Javascript in your browser.
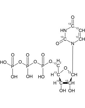
Uridine-5'-Triphosphate, Utp-13C9
Uridine- 5'-Triphosphate Utp-5,6-D2,1',2',3',4',5',5'-D6 Sodium Salt Solution
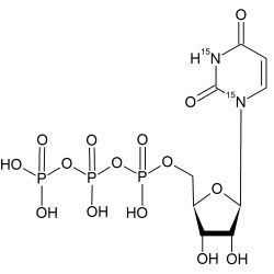
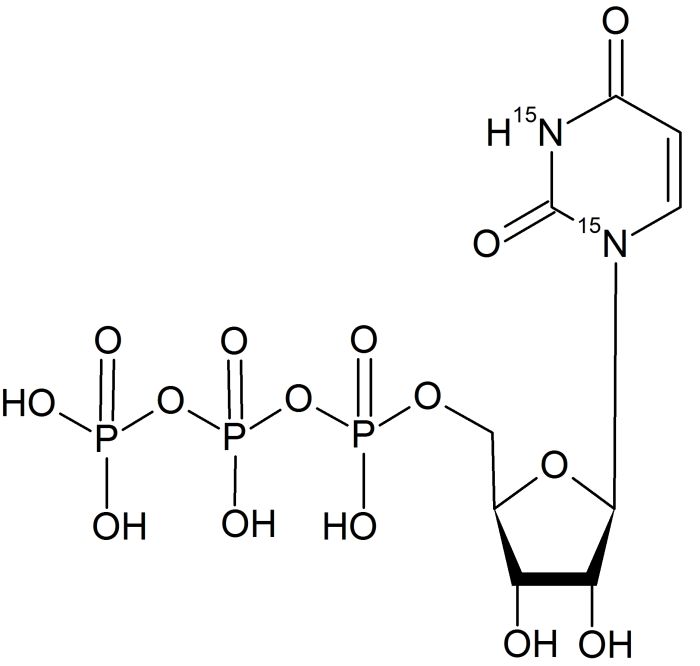
Uridine 5'-Triphosphate Utp-13C9,15N2