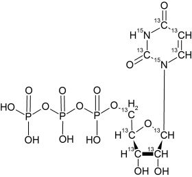
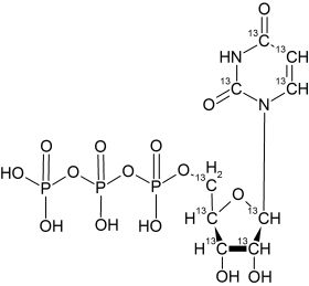
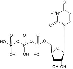
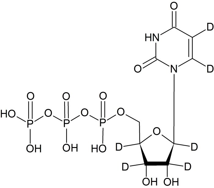
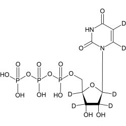
Uridine- 5'-Triphosphate Utp-5,6-D2,1',2',3',4',5',5'-D6 Sodium Salt Solution
Code
CD6315P
• Sodium Salt Solution, 5 mM Tris Buffer
• 98% D
• 98% D
Uridine- 5'-Triphosphate Utp-5,6-D2,1',2',3',4',5',5'-D6 Sodium Salt Solution
Structural Biology
Material Science
Metabolomics & Proteomics
Organic Chemistry
