JavaScript seems to be disabled in your browser. For the best experience on our site, be sure to turn on Javascript in your browser.
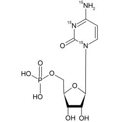
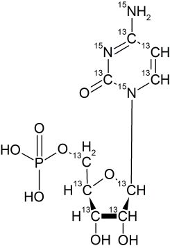
Cytidine 5'-Monophosphate Cmp-13C9,15N3