JavaScript seems to be disabled in your browser. For the best experience on our site, be sure to turn on Javascript in your browser.
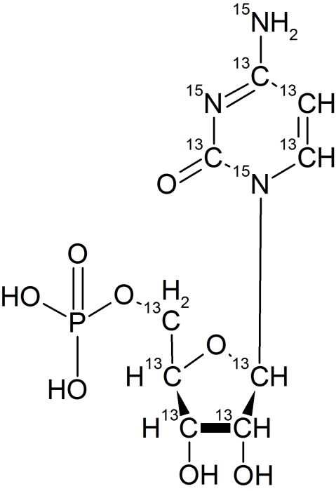
Cytidine 5'-Monophosphate Cmp-15N3