JavaScript seems to be disabled in your browser. For the best experience on our site, be sure to turn on Javascript in your browser.
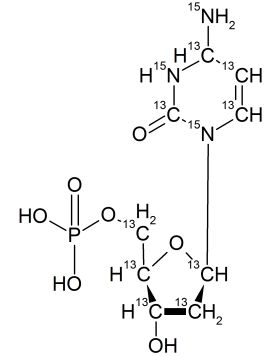
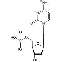
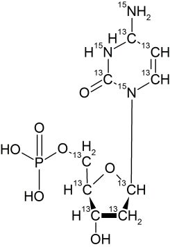
2'-Deoxycytidine 5'-Monophosphate, Dcmp-13C9,15N3