JavaScript seems to be disabled in your browser. For the best experience on our site, be sure to turn on Javascript in your browser.
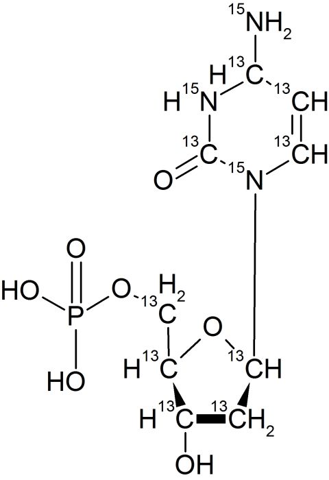
2'-Deoxycytidine 5'-Monophosphate , Dcmp-15N3