JavaScript seems to be disabled in your browser. For the best experience on our site, be sure to turn on Javascript in your browser.
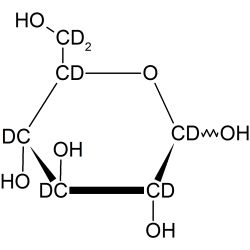
D-Glucose-13C6-1,2,3,4,5,6,6-d7