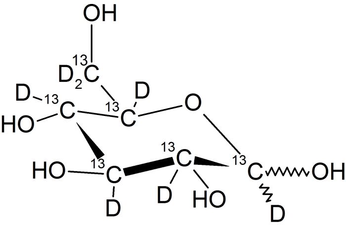
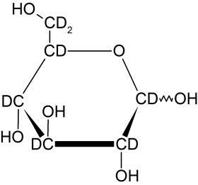
D-Glucose-13C6-1,2,3,4,5,6,6-d7
Code
CCD860P1
CAS number: 201417-01-8
HO13CD2(O)13CD13CD(OH)13CD(OH)13CD(OH)13CDOH
HO13CD2(O)13CD13CD(OH)13CD(OH)13CD(OH)13CDOH
CAS number: 201417-01-8
HO13CD2(O)13CD13CD(OH)13CD(OH)13CD(OH)13CDOH
HO13CD2(O)13CD13CD(OH)13CD(OH)13CD(OH)13CDOH
D-Glucose-13C6-1,2,3,4,5,6,6-d7









































