JavaScript seems to be disabled in your browser. For the best experience on our site, be sure to turn on Javascript in your browser.
Uridine-5'-Triphosphate, Utp-13C9
Uridine 5'-Triphosphate Utp-15N2
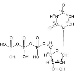
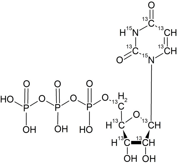
Uridine 5'-Triphosphate Utp-13C9,15N2