JavaScript seems to be disabled in your browser. For the best experience on our site, be sure to turn on Javascript in your browser.
Adenosine-5'-Triphosphate, Atp-2,8-D2,1',2',3',4',5',5'-D6
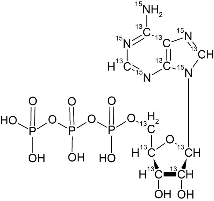
Adenosine-5'-Triphosphate Atp-13C10
Adenosine 5'-Triphosphate Atp-15N5