JavaScript seems to be disabled in your browser. For the best experience on our site, be sure to turn on Javascript in your browser.
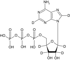
Adenosine-5'-Triphosphate, Atp-2,8-D2,1',2',3',4',5',5'-D6
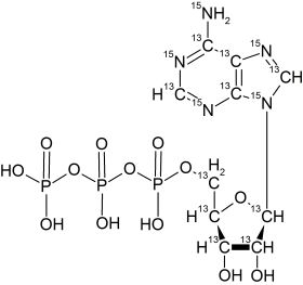
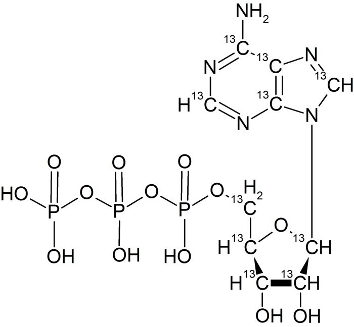
Adenosine 5'-Triphosphate Atp-13C10,15N5
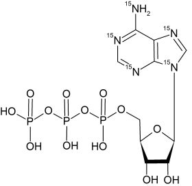
Adenosine 5'-Triphosphate Atp-15N5