JavaScript seems to be disabled in your browser. For the best experience on our site, be sure to turn on Javascript in your browser.
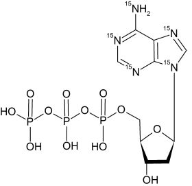
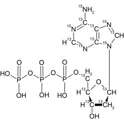
2'-Deoxyadenosine 5'-Triphosphate Datp-15N5