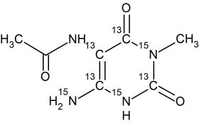
1,3-Dimethyluric Acid-2,4,5,6-13C4-1,3,9-15N3
Code
CCN4554P
99% 13C, 98% 15N
CAS number: 1173019-16-3
13C4C3H815N3NO3
13C4C3H815N3NO3
1,3-Dimethyluric Acid-2,4,5,6-13C4-1,3,9-15N3
Structural Biology
Material Science
Metabolomics & Proteomics
Organic Chemistry
