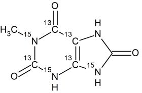
5-Acetylamino-6-Amino-3-Methyluracil-(Ring-13C4,15N2,Amino-15N)
Code
CCN4551P
99% 13C, 98% 15N
CAS number: 1173022-65-5
13C4C3H1015N3NO3
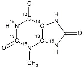
13C4C3H1015N3NO3
5-Acetylamino-6-Amino-3-Methyluracil-(Ring-13C4,15N2,Amino-15N)
Structural Biology
Material Science
Metabolomics & Proteomics
Organic Chemistry
