JavaScript seems to be disabled in your browser. For the best experience on our site, be sure to turn on Javascript in your browser.
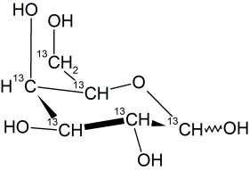
D-Galactose-13C6
D-Galactose-2-13C