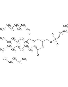
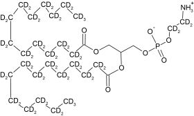
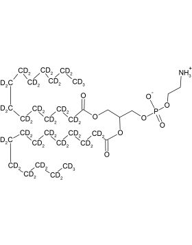
1-myristoyl-d27-2-myristoyl-sn-glycero-3-phosphethanolamine (14:0-d27-14:0 DMPE)
Code
CD5053P
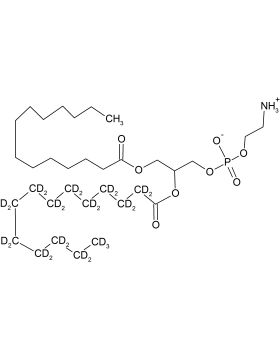
• DMPE, Deuterated on 1' acyl chain α-d2
• Deuteration: 98 %
• Chemical purity > 99 %
• Deuteration: 98 %
• Chemical purity > 99 %
• TLC and NMR spectra are supplied with the sample
• Product has been tested for the preparation of NMR sample of membrane proteins.
• Product has been tested for the preparation of NMR sample of membrane proteins.
1-myristoyl-d27-2-myristoyl-sn-glycero-3-phosphethanolamine (14:0-d27-14:0 DMPE)










































