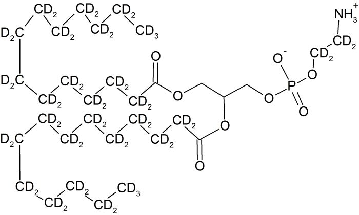
1,2-dimyristoyl-sn-glycero-3-phosphoethanolamine-d58 (14:0 DMPE-d58)
Code
CD5068P
• DMPE, Perdeuterated
• TLC and NMR spectra are supplied with the sample
• Product has been tested for the preparation of NMR sample of membrane proteins.
• Product has been tested for the preparation of NMR sample of membrane proteins.
1,2-dimyristoyl-sn-glycero-3-phosphoethanolamine-d58 (14:0 DMPE-d58)










































