JavaScript seems to be disabled in your browser. For the best experience on our site, be sure to turn on Javascript in your browser.
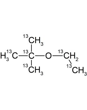
Tert Butyl Ethyl Ether 13C5
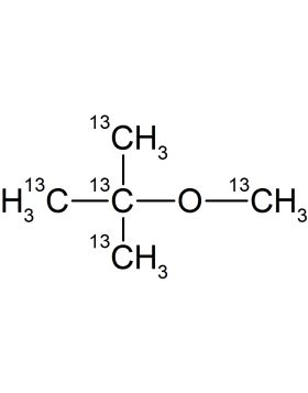
Tert Butyl Methyl Ether 13C5