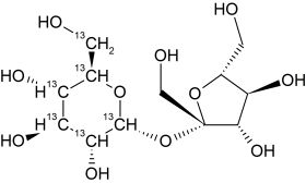
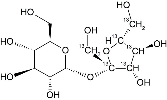
Sucrose-(fructose-13C6)
Code
CC3826P
• Sterility and Pyrogenicity Tested
• ≥99% 13C, ≥99% CP
• ≥99% 13C, ≥99% CP
For R&D use only. S&P testing is done on the bulk prior to packaging.
| Chemical Purity | 99% |
|---|
Sucrose-(fructose-13C6)
Structural Biology
Material Science
Metabolomics & Proteomics
Organic Chemistry| Chemical Purity | 99% |
|---|
