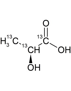
Sodium D-Lactate-3-13C
Code
CC3547P
• Sterility and Pyrogenicity Tested
• 99% 13C
• 99% 13C
For R&D use only. S&P testing is done on the bulk prior to packaging.
Sodium D-Lactate-3-13C
Structural Biology
Material Science
Metabolomics & Proteomics
Organic Chemistry
