NMR & Analytical
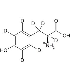
L-Tyrosine-c’,α,β,γ,ε1,ε2-13C6, β2,δ-D3,15N
CCDN4036P
2 - 4 weeks• Original SAIL amino acid
• Preservation of through-bond connectivity
• Reduction of spin diffusion
• Removal of 2JHH couplings
• Reduction of number of protons 50%
Shop By
Shopping Options




























































