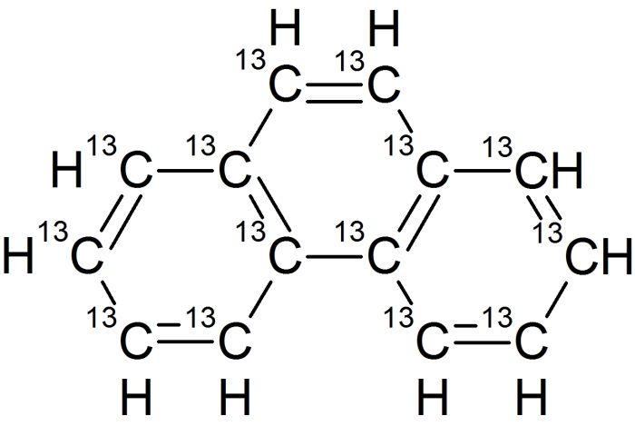
Phenanthrene-13C14

Code
CC6140P01
• 100 mg
• 99% 13C
CAS number: 1262770-68-2
13C14H10
Phenanthrene-13C14