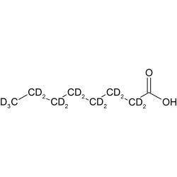
Octanoic Acid-d15

Code
CD1222P
98% D
CAS number: 69974-55-6
Octanoic Acid-d15