M-TinyPol - 50 mg
Code
C025P005
$3,300.00
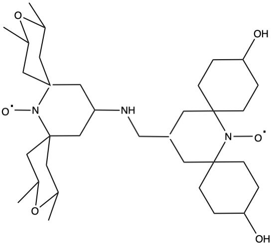
Biradical for Dynamic Nuclear Polarization
The use of M-TinyPol enables great sensitivity enhancement (ε) in Dynamic Nuclear Polarization (DNP) experiments performed on biological systems.
Structural Biology
Material Science
Metabolomics & Proteomics
Organic Chemistry
