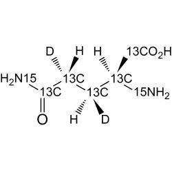
L-Glutamic Acid-13C5,β3,γ3-D2,15N
Code
CCDN4007P
$0.00
• Original SAIL amino acid
• Preservation of through-bond connectivity
• Reduction of spin diffusion
• Removal of 2JHH couplings
• Reduction of number of protons 50%
• Preservation of through-bond connectivity
• Reduction of spin diffusion
• Removal of 2JHH couplings
• Reduction of number of protons 50%







































