JavaScript seems to be disabled in your browser. For the best experience on our site, be sure to turn on Javascript in your browser.
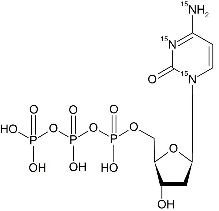
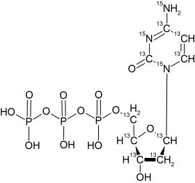
2'-Deoxycytidine 5'-Triphosphate Dctp-13C9,15N3