JavaScript seems to be disabled in your browser. For the best experience on our site, be sure to turn on Javascript in your browser.
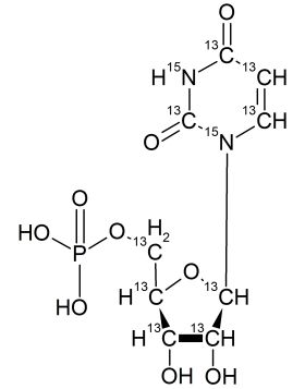
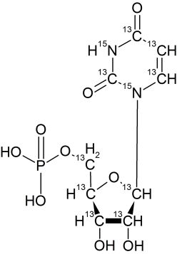
Uridine 5'-Monophosphate Ump-13C9,15N2